Skip to main content

Helfield Research Group

Our interdisciplinary group, situated within both the Department of Physics and Biology at Concordia University, works on the development of an image-guided, targeted drug/gene delivery platform using biomedical ultrasound for the treatment of cardiovascular disease and cancer. This involves using focused ultrasound and acoustically-sensitive agents to spatially and temporally target therapeutic delivery to regions of disease. We use physical, biological, mathematical and engineering-based approaches to address major research themes:

  • Physics of acoustically-sensitive microbubbles and droplets,
  • Physical acoustics that initiate safe, transient sonoporation,
  • Cellular repair mechanisms and their associated time-course and
  • Key signaling molecules that initiate, sustain and reverse membrane permeability.
Research Context and Background

Biomedical ultrasound is widely employed as an imaging modality for anatomical assessment, as well as to provide information on blood flow characteristics. Focused, high intensity ultrasound is also gaining traction as a therapeutic tool, applications of which include tissue ablation (e.g. neurological). For both diagnostic and therapeutic ultrasound, there is increasing interest in employing microbubble contrast agents. Unlike MR and CT agents, ultrasound contrast agents are comparable in size to a red blood cell and therefore provide a purely intravascular agent for clinical radiology. Ultrasound can induce microbubbles to resonate around their equilibrium size (1-8 µm), expanding and contracting in the sound field, and to vibrate nonlinearly. These nonlinear vibrations provide the key for the detection and separation of their echoes within small vessels from the much larger echoes of the surrounding tissue. Ultrasound contrast imaging with microbubbles can help detect and diagnose small tumors, as well as show perfusion within the myocardium – and can also be biochemically targeted to regions of disease for early-disease molecular detection (e.g. inflammation).  

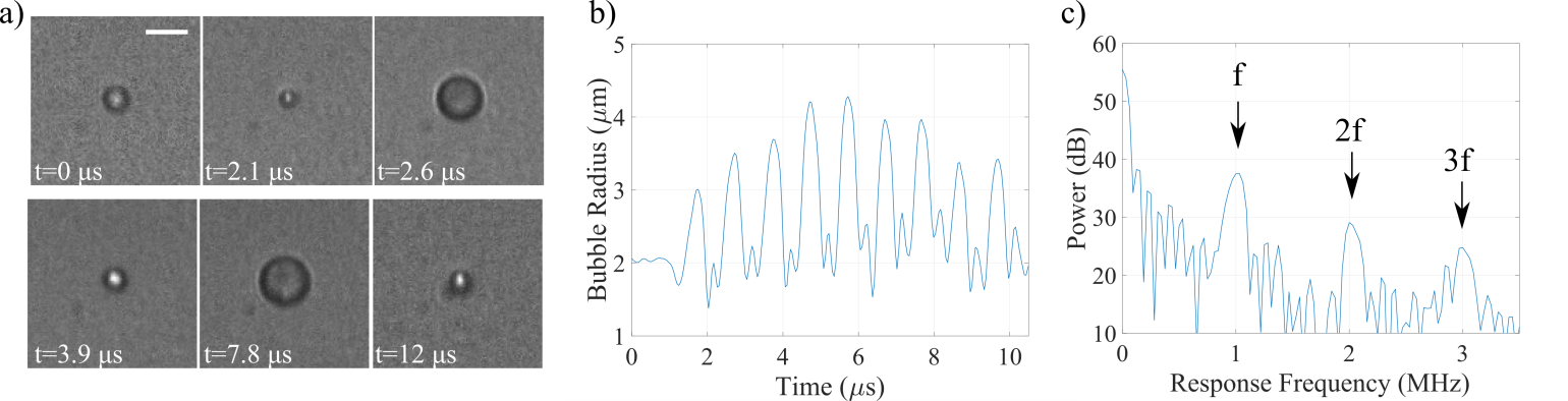
An oscillating microbubble under an ultrasound field (frequency of 1 MHz, peak-negative pressure of 400 kPa, pulse duration of 8 µs) captured at 10.86 million fps. Scale bar is 5 µm. Adapted from Helfield et al. Ultrasound in Medicine and Biology 42(3) 2016. b) Radial cavitation dynamics and c) associated power spectrum. Under such an acoustic regime, this bubble oscillates at the fundamental (f), second (2f) and third (3f) harmonic frequencies, exhibiting distinctly nonlinear behaviour.
Pictured is a fluorescently labeled endothelial cell monolayer, pseudocolorized in blue/green, and imaged using confocal microscopy. One cell has been selectively perforated via ultrasound-induced microbubble vibration allowing the entrance of a model therapeutic (orange). This perforation re-seals after 30 minutes. See Helfield et al. PNAS 113(36) 2016.

Under certain acoustic conditions, these microbubbles can also be made to induce bioeffects, including the local and reversible opening cell membranes to allow entry of therapeutics – sonoporation. Either through co-injection of a therapeutic or through attaching the payload to the bubble itself, microbubbles are emerging as a targeted drug/gene delivery vehicle – for example in cancer and cardiovascular disease applications – whereby drug deposition is limited to the precise location where the microbubbles intersect with the focused ultrasound beam.

We are an interdisciplinary research group at the interface of physics and biology. Our research projects focus on both the acoustics and biophysics of biomedical ultrasound therapeutics.

Our first research interest is in studying the basic physics of ultrasound-stimulated microbubble vibrations, and other acoustically sensitive agents. A more complete understanding of the dynamic response of bubbles will aid in contrast image quality and quantification, optimal microbubble design for a given application, and controlled and repeatable bioeffects.

A second research theme is to understand the cellular and vascular biophysics of ultrasound-microbubble therapies. We are interested in learning about the key signaling molecules that initiate, sustain and reverse sonoporation, and how those are linked to the physical acoustics of bubble vibrations.

A third research theme is to develop a dual imaging and therapeutic targeted drug/gene delivery ultrasound platform. We will combine aspects of cell/vascular biology, ultrasound acoustic physics and medical imaging to develop an image-guided approach to local and safe drug/gene delivery in models of cardiovascular disease.

Principal investigator

Brandon Helfield

Assistant Professor, Physics
Assistant Professor, Biology

Email: brandon.helfield@concordia.ca
Google Scholar
Twitter

Current members

Elahe Memari

Ph.D. candidate
Email: elahe.memari@concordia.ca

Hossein Yusefi

Ph.D. candidate
Email: yusefi.hk@gmail.com

Davindra Singh

Ph.D. candidate
Email: davindra.singh@concordia.ca

Stephanie He

Ph.D. candidate
Email: stephanie.he@concordia.ca

Muhammad Sabih Armaghan

Undergraduate research assistant
Email: muhammadsabih.armaghan@mail.concordia.ca

Past members

Undergraduate and summer students
  • Lindsay Wright, undergraduate researcher (2020)
  • Yves Roland, undergraduate researcher (2020)
Research Assistant
  • Fiona Hui, (2019-2021)
  1. Helfield, B.L., Zou, Y., and Matsuura, N. Acoustically-stimulated nanobubbles: opportunities in medical ultrasound imaging and therapy, Frontiers in Physics, 9:654374 (2021). doi: 10.3389/fphy.2021.654374
  2. Wei, L., Williams, R., Loupas, T., Helfield, B.L., and Burns, P.N. Lateral Position-Dependent Velocity Estimation Error in Plane-Wave Doppler Ultrasound Systems, Ultrasound in Medicine and Biology, 47, 2456-2466 (2021). doi:10.1016/j.ultrasmedbio.2021.03.023
  3. Helfield, B. L., Yoo, K., Liu, J., Williams, R., Sheeran, P. S., Goertz, D. E. & Burns, P. N. Investigating the Accumulation of Submicron Phase-Change Droplets in Tumors. Ultrasound in Medicine & Biology 46, 2861–2870 (2020). doi:10.1016/j.ultrasmedbio.2020.06.021
  4. Helfield, B., Chen, X., Watkins, S. C. & Villanueva, F. S. Transendothelial Perforations and the Sphere of Influence of Single-Site Sonoporation. Ultrasound in Medicine & Biology 46, 1686–1697 (2020). doi:10.1016/j.ultrasmedbio.2020.02.017
  5. Helfield, B. A Review of Phospholipid Encapsulated Ultrasound Contrast Agent Microbubble Physics. Ultrasound in Medicine & Biology 45, 282–300 (2019). doi:10.1016/j.ultrasmedbio.2018.09.020
  6. Helfield, B. L., Chen, X., Qin, B., Watkins, S. C. & Villanueva, F. S. Mechanistic Insight into Sonoporation with Ultrasound-Stimulated Polymer Microbubbles. Ultrasound in Medicine & Biology 43, 2678–2689 (2017). doi:10.1016/j.ultrasmedbio.2017.07.017
  7. Helfield, B., Chen, X., Watkins, S. C. & Villanueva, F. S. Biophysical insight into mechanisms of sonoporation. Proc Natl Acad Sci USA 113, 9983 (2016). doi:10.1073/pnas.1606915113
  8. Helfield, B., Chen, X., Qin, B. & Villanueva, F. S. Individual lipid encapsulated microbubble radial oscillations: Effects of fluid viscosity. The Journal of the Acoustical Society of America 139, 204–214 (2016). doi:10.1121/1.4939123
  9. Helfield, B., Black, J. J., Qin, B., Pacella, J., Chen, X. & Villanueva, F. S. Fluid Viscosity Affects the Fragmentation and Inertial Cavitation Threshold of Lipid-Encapsulated Microbubbles. Ultrasound in Medicine & Biology 42, 782–794 (2016). doi:10.1016/j.ultrasmedbio.2015.10.023
  10. Huynh, E., Leung, B. Y. C., Helfield, B. L., Shakiba, M., Gandier, J.-A., Jin, C. S., Master, E. R., Wilson, B. C., Goertz, D. E. & Zheng, G. In situ conversion of porphyrin microbubbles to nanoparticles for multimodality imaging. Nature Nanotechnology 10, 325 (2015).
  11. Mansik Jeon, Wentao Song, Elizabeth Huynh, Jungho Kim, Jeesu Kim, Brandon L. Helfield, Benjamin Y. C. Leung, David E. Geortz, Gang Zheng, Jungtaek Oh, Jonathan F. Lovell & Chulhong Kim. Methylene blue microbubbles as a model dual-modality contrast agent for ultrasound and activatable photoacoustic imaging. Journal of Biomedical Optics 19, 1–9 (2014). doi:10.1117/1.JBO.19.1.016005
  12. Helfield, B. L., Leung, B. Y. C. & Goertz, D. E. The influence of compliant boundary proximity on the fundamental and subharmonic emissions from individual microbubbles. The Journal of the Acoustical Society of America 136, EL40–EL46 (2014). doi:10.1121/1.4885544
  13. Helfield, B. L., Leung, B. Y. C. & Goertz, D. E. The effect of boundary proximity on the response of individual ultrasound contrast agent microbubbles. Physics in Medicine and Biology 59, 1721–1745 (2014). doi:10.1088/0031-9155/59/7/1721
  14. Helfield, B. L., Leung, B. Y. C., Huo, X. & Goertz, D. E. Scaling of the viscoelastic shell properties of phospholipid encapsulated microbubbles with ultrasound frequency. Ultrasonics 54, 1419–1424 (2014). doi:10.1016/j.ultras.2014.03.014
  15. Helfield, B. L. & Goertz, D. E. Nonlinear resonance behavior and linear shell estimates for DefinityTM and MicroMarkerTM assessed with acoustic microbubble spectroscopy. The Journal of the Acoustical Society of America 133, 1158–1168 (2013). doi:10.1121/1.4774379
  16. Helfield, B. L., Cherin, E., Foster, F. S. & Goertz, D. E. The Effect of Binding on the Subharmonic Emissions from Individual Lipid-Encapsulated Microbubbles at Transmit Frequencies of 11 and 25 MHz. Ultrasound in Medicine & Biology 39, 345–359 (2013). doi:10.1016/j.ultrasmedbio.2012.09.011
  17. Huynh, E., Lovell, J. F., Helfield, B. L., Jeon, M., Kim, C., Goertz, D. E., Wilson, B. C. & Zheng, G. Porphyrin Shell Microbubbles with Intrinsic Ultrasound and Photoacoustic Properties. J. Am. Chem. Soc. 134, 16464–16467 (2012). doi:10.1021/ja305988f
  18. Helfield, B. L., Huo, X., Williams, R. & Goertz, D. E. The Effect of Preactivation Vial Temperature on the Acoustic Properties of DefinityTM. Ultrasound in Medicine & Biology 38, 1298–1305 (2012). doi:10.1016/j.ultrasmedbio.2012.03.005
  19. Helfield, B. L., Cherin, E., Foster, F. S. & Goertz, D. E. Investigating the Subharmonic Response of Individual Phospholipid Encapsulated Microbubbles at High Frequencies: A Comparative Study of Five Agents. Ultrasound in Medicine & Biology 38, 846–863 (2012). doi:10.1016/j.ultrasmedbio.2012.01.011

We are always looking for motivated and enthusiastic people to join our team. We are an interdisciplinary research group that combines approaches from physics, biology, mathematics, and engineering. We tailor projects towards the natural interests of our group members, and therefore candidates from any background are encouraged to apply.

Undergraduate and Graduate Students

All full-time graduate students who are invited to join our lab will receive financial support in accordance with the policy of the Department of Physics or Biology at Concordia University, and will be funded to present his/her research at international conferences. Please prepare a letter of interest, an updated CV and contact information for two references into a single PDF document, and send it directly to Dr. Helfield (brandon.helfield@concordia.ca). Graduate students will then need to apply to either the Physics or Biology graduate program and mention interest in our lab in your statement of purpose. More details can be found on the Concordia University Opportunities in the Sciences webpage.

Postdoctoral fellows

Please send an application package consisting of a research statement, your CV, contact information for two references and two recent publications directly to Dr. Helfield (brandon.helfield@concordia.ca)

Back to top

© Concordia University